展会开幕倒计时3天!烟台东化亮相ASE CHINA 2023,邀您共鉴工业胶粘剂下游应用创新解决方案
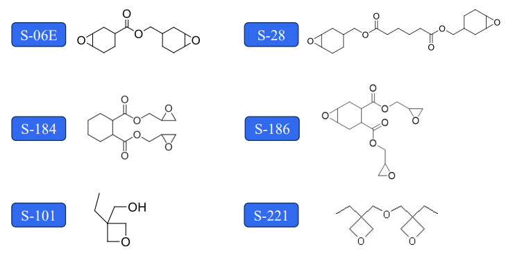
Part.01 烟台东化高性能环氧树脂 W4馆W4526展位 烟台东化新材料有限公司总部位于烟台化工产业园,总投资30亿元。由万华化学原董事长丁建生先生发起成立,从事高端化工新材料的研发、生产和销售。公司在南通拥有子公司,在上海设有销售办事处,为国内外300多家客户提供高品质的脂环族环氧树脂、多功能环氧树脂,以及环氧树脂固化剂、添加剂等产品和创新型的解决方案。 子公司南通新纳希新材料有限公司位于江苏省如皋港新材料工业园区内,是国家高新技术企业,已经成功开发了数十个新产品,拥有多项国家发明专利。 作为全球一流的化工新材料生产商和服务商,烟台东化将携多款最新的特种环氧树脂及下游应用解决方案于本届胶粘剂展精彩亮相,包括脂环族环氧树脂、多官能团环氧树脂、功能性单体、阳离子型光&热引发剂等原材料产品,以及灌封胶、电子封装胶、模组粘接胶、修补胶、石材胶等工业胶粘剂下游应用解决方案。 Part.02 精选展品-高性能环氧树脂及其固化方式和应用 01 创新新材料 —— 高性能环氧树脂 脂环族环氧树脂是环氧基直接连接在脂环结构上的树脂的统称。环氧基由脂环烯烃氧化制得,而非传统环氧树脂由环氧氯丙烷合成。 烟台东化推出的系列脂环族环氧树脂产品,具有以下性能: 粘度低 离子含量少 氯含量低 固化物交联度高 耐候性强 耐紫外光以及抗电子辐射 电绝缘性高 02 脂环族环氧之固化方式 脂环族环氧树脂有光固化、热固化、光热复合等多种固化体系 —— 目前中国各行业在环保和健康方面的要求日益增高,传统的氨基树脂存在甲醛问题,酚醛环氧存在BPA。绿色环保的“脂环-热阳离子”体系应运而生,在胶黏剂、涂料、复合材料等领域大有可为。 无溶剂、无BPA、绿色环保; 反应温度低,反应速度快,可以大大节省工艺成本,提高生产效率; 交联密度高,耐抗性好 克服UV固化深度、阴影部分及固化形状限制 提高反应程度及固化深度 释放反应应力,提高粘接强度 03 脂环族环氧树脂胶粘剂应用解决方案 ✓ 灌封胶、电子封装胶、模组粘接胶、修补胶、石材胶… Part.03 前沿现场报告














9月2日展会现场,烟台东化将有专业的产品经理,在展会技术演讲环节为大家详细解读脂环族环氧树脂在胶粘剂中的创新应用,欢迎感兴趣的五湖四海来宾,前来倾听和提问交流!
English
